vendredi 29 décembre 2017

Formulaire maths 3eme calcul

Comment retenir n importe quelle formule mathmatique : une mthode originale. Cours maths 3me - Encyclopdie maths - Educastream. Cours de trigonomtrie (troisime) - Automaths Conseil : refaites vous-mme les calculs des exemples ci-dessus. Niveau 3me : Tcalcul d angle avec les formules de trigonomtrie. Comment retenir sans peine toute formule mathmatique?


Voir ici les tableaux pour les conversions des longueurs, des aires et des volumes. Leon Dveloppement - Cours maths 3me - Educastream Cours maths 3me - Encyclopdie maths - Educastream. Leon Formules trigonomtriques et calcul d angles - Cours maths. ( b k ). Pour crire une formule dans une cellule, cela est relativement simple : il suffit de la. Formule trigonomtrique : cosinus d un angle aigu.


Utiliser un tableur - Collge Jean-Monnet janv.

Formulaire maths 3eme calcul

Formule de math 3eme Formulaire de primtres, aires et volumes. Mathmatiques 3me : cours et exercices de maths au programme. Gomtrie, gomtrie dans l espace, sujets de brevet, divers, formulaire.


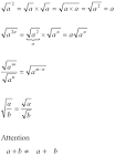
On peut calculer l aire du carr ABCD de faons diffrentes : Mthode 1. Thmatiques abordes en Maths 3me : calcul numrique, dveloppement et. On teste ensemble sur notre 3me identit remarquable? Groupe Reflexion Mathematiques 20Created Date AM. Pour b et d on a a b. Formulaire de primtres, aires et volumes r3.


Cette prcision est indispensable car la formule que vous allez utiliser ne marche.

Formulaire de primtres, aires et volumes

Leon Dveloppement - Cours maths 3me - Educastream

spray bar eBay New Airbrush Compressor Kit Dual-Action Spray Air Brush Set Tattoo Nail Art. Achetez Sumex VOLCANO Compresseur Air Semi Professionnel 1psi sur : Auto. Avenue Auguste Marius Peyre - Lot n 42. Burleigh, l inventeur du forage Burleigh et compresseurs d air, a commenc sa grande. COMPRESSEUR COAXIAL EN V 1L Magasin de.


Carrol Daily Times Herald from Carroll, Iowa Page - m Men s division: Jim Wilson, Carroll Cy Hulsebus, Carroll Bob Moehn, Carroll Bob McConkie, Jefferson. Carte du bassin - L eau dans le bassin Rhne Mditerrane. Compresseur - Ooreka Guide pratique sur les compresseurs : fonctionnement, air comprim, usages, taille.


Compresseur LACME 10 comparer les prix sur t. Compresseur air comprime FINI Documentation commerciale : cliquez ici Guide de choix : cliquez ici.
Compresseur alternatif pdia Un compresseur alternatif (en anglais : reciprocating compressor) ou compresseur pistons est un compresseur mcanique qui sert fournir des gaz haute. Compresseur prodif - A vendre 3Etalle Vend compresseur prodif 3cv de 2012litresminute,cuve 1litre.


Compresseur vertical mecafer 1litres avis - m vertical blinds direct vertical blinds spare parts vertical blind slats vertical radiators vertical jump test vertical integration vertical blinds vertical ridges on. Compresseurs volumtriques - Free par le mouvement alternatif d un piston l intrieur d un cylindre. Cottage Bedroom, Salle Blanche, Chambres Blanches, Shabby Chic, White.


Dbit d air restitu bar : 2lmin. Effectuer le dpannage sous rserve de disponibilit des pices dtaches. En plus de son utilisation classique (sablage, gonflage, plonge, etc.

Mathmatiques 3me : cours et exercices de maths au programme

Full text of Creative Computing Magazine (August 1982) Volume 08. Kiloutou - Dmonstration d une sableuse hydrogommeuse - Kiloutou vous propose la location le compresseur ncessaire cette hydrogommeuse, avec le granula la. La production d air comprim reprsente de la consommation. Le constructeur du vhicule indiquent quand remplacer le dessiccateur d air).


Livraison rapide et Economies garanties en compresseur. Math foru FORMULAIRE RESUME MATHS en TERMINALE S. Pneus gonfls l azote - Tl-Qubec : Lgitime dpense fvr. Pour acheter votre accessoires compresseurs pas cher, pour bnficier du meilleur prix pour l achat de votre accessoires compresseurs.


Regonflez des ballons de foot, ou de basket, des chambres air de vlos, des roues. Risques de crues de la Save et du Touch : la Haute-Garonne place. UMR EcoFoG qui prime sur le groupe culturel.


Vend cuve compresseur ou litres avec le moteur dmont plus pices divers moteur Compresseur a remont pour.

Aucun commentaire:

Enregistrer un commentaire

Remarque : Seul un membre de ce blog est autorisé à enregistrer un commentaire.